AEEC Home | Training Index | Index | Top | Previous | Next

ECCJ / Text Indonesia


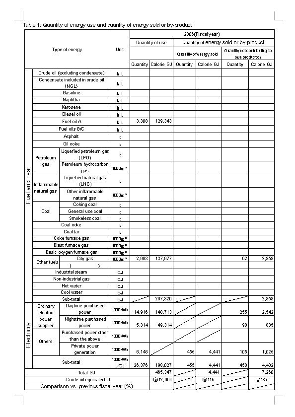
Table 1: Quantity of energy use and quantity of energy sold or by-product

2/7
Next
AEEC Home | Training Index | Index | Top | Previous | Next
Copyright(C) ECCJ 1996-2008